电感线圈与电容并联电路
时间:2023-03-13来源:佚名
|
电流谐振现象实际是不可能得到的,因电感线圈总是存在电阻的,则电路就变成了混联,谐振现象也就较为复杂。
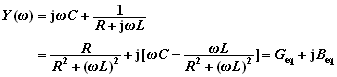
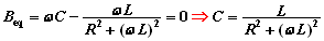
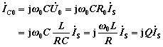
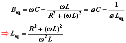
![]() 1.谐振条件与谐振频率 ![]() 1.谐振条件与谐振频率 ![]() 当电路发生并联谐振时,电路两端电压 与总电流 同相位,此时Beq= 0。 谐振条件: ![]() 谐振频率: ![]() ![]() 上式表明,此电路发生并联谐振是有条件的,参数不合适可能不会发生谐振。在电路参数一定时,改变电源频率是否能达到谐振,要由下列条件决定: ![]() ![]() 当电路发生谐振时,电路相当于一个电导(或电阻): ![]() 电容可以调节时,情况有所不同。 由 可看出,不论R、L、ω为何值,调节电容C总能达到谐振。 ![]() ![]() ![]() ![]() 谐振时等效阻抗即并联谐振阻抗 R0 为: ![]() 2.电感线圈与电容并联电路的特征 (1)电阻呈高阻抗,且为纯电阻。 ![]() 整个电路相当于一个电阻,用R0表示,则 ![]() Q>>1时,R0 >> R。实际并联电路在谐振频率附近呈现高阻抗值。 (2)当电流源供电时,电路两端呈现高电压。 ![]() (3)电感、电容支路的电流值接近相等,且为总电流的Q倍。 ![]() 谐振时 ![]() ![]() ![]() (4)当电压源供电时,电路端口的总电流最小。 收音机的原理是把天线接收到的高频信号经检波(解调)还原成音频信号,送到耳机变成音波。因空间有很多不同频率的无线电波,为设法选择所需要的节目,接收天线连接到一个选择性电路(即带通滤波器),把所需要的信号挑选出来,并把不要的信号滤掉,以免产生干扰。选择性电路的输出是选出某个电台的高频调制信号,还需要通过解调把它恢复成原来的音频信号,送到耳机或扬声器。 常见的收音机天线有两种:外置天线和利用内置磁棒上的线圈作为天线。 ![]() 对于利用外置天线接受信号的电路,通过天线接受到的信号可看成一个电流源信号。由于后面的隔离电路入端电阻一般很大,故忽略它对信号选择电路的影响。 ![]() 对于利用内置磁棒作为天线的电路,外面的高频信号在磁棒上感应出的是一个电压源,同样可以忽略后面电路对选择电路的影响。 ![]() |



与总电流
同相位,此时Beq= 0。






可看出,不论R、L、ω为何值,调节电容C总能达到谐振。





















