功率方向继电器的工作原理
时间:2023-03-15来源:佚名
|
1.工作原理 方向元件的作用是判别故障方向,如下图所示:由母线电压、线路电流判别故障方向。
图中母线电压参考方向为“母线指向大地”,电流参考方向为“母线指向线路”,依据 2.动作特性 (1)LG-11功率方向继电器结构,如下图所示:
(2)动作实现: ① 电压形成回路:由DKB、YB组成:
R1、R2:消除潜动、调整平衡。 C1:与YB的励磁电抗形成谐振,使超前90o,其记忆作用用于消除死区,记忆时间为几十毫秒; ② 比较回路:
由半导体整流桥BZ1,BZ2组成的环流是比较回路。 ③ 执行元件:极化继电器J,非常灵敏 标记“*”,当电流从*端流入时,J动作,反之则不动。
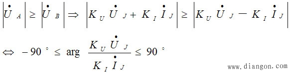
(3)动作方程:
(4)动作特性:
(5)死区: 虽然J的动作功率很小,但 当出口接地短路时, 在记忆时间内消除死区。 |


相位关系我们可以判别故障方向。即用功功率的正负可以用来判断故障的方向,依此原理构成的方向元件也称为功率方向继电器。




时,J动作;


:最小工作电压。
,GJ不动作:死区。








