三角波信号发生器
时间:2023-03-11来源:佚名
|
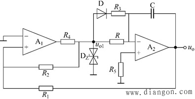
1、电路组成及工作原理 三角波信号可通过方波信号积分得到,因此三角波信号发生器可在图1所示的矩形波发生器的基础上加一积分电路得到,电路如图1所示。
2、波形分析及主要参数 设t=0时,uC=0,uo1= UZ,则uo=-uC。运放A1的同相输入端对地电压为
此时,uo1通过R3向C恒流充电,uC线性上升,uo线性下降,uP1下降。当uP1下降到略小于0时,uo1从 UZ跃变为-UZ,见图2中t=t1时刻波形。根据式(1)知,此时uo略小于 在t=t1时刻,uC=-uo=
此时,电容C恒流放电,uC线性下降,uo线性上升,uP1也上升。当uP1上升到略大于0时,uo1从-UZ跃变为 UZ。见图2中t=t2时刻波形。根据式(2)知,此时uo略大于
t2-t3期间,电容C充电,同理得充电时间T2为
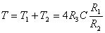
故电路的振荡周期为
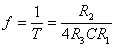
振荡频率为
3、锯齿波信号发生器 锯齿波信号与三角波信号相比,其不同点在于:锯齿波的上升时间与下降时间不同,一般下降时间远小于上升时间。因此只需在图1所示的三角波发生器电路上做些改进,使电容C的充电电阻远小于放电电阻,就可以得到下降时间远小于上升时间的锯齿波信号。图3所示为锯齿波信号发生器电路。由图可见,该电路充电电阻为R/R3,放点电阻为R。只要R3远小于R,就可得到图4所示的电路工作波形。该电路的振荡周期和频率与三角波发生器类似。
|


。
,uo1=-UZ运放A1的同相端对地电压为















