电动机容量的选择原则及方法
时间:2023-03-15来源:佚名
|
选择电动机容量根据的三项基本原则是: 3、启动能力:
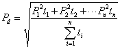
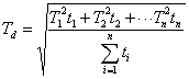
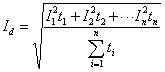
电动机在运行过程中,发生能量转换,必有能量损耗,都变成热能而使电动机发热,温度升高。而温度超过一定数值,必定是绕组的绝缘损坏。 按发热条件选择电动机功率的最基本依据是:电动机的工作温度应小于绝缘材料允许的最高工作温度。 1)连续工作制电动机容量的选择 对于负载恒定时,选择电动机为: 对于变动负载时,不能按最大或最小负载功率来选择,而用所谓“等值法”来计算电动机功率。即把实际的变化负载化成一等效的恒定负载(两者的温升相同)来确定电动机的功率。 其等值电流为: 等效转矩法为: 等效功率法为: 然后选择电动机: 2)短时工作制电动机容量的选择 3)重复短时工作制电动机容量的选择 |









